AI กับความเหลื่อมล้ำจากนามสกุล

note
บทความวิจัย aBRIDGEd ฉบับนี้กลั่นกรองมาจากบทความวิจัย "Algorithmic Inheritance: Surname Bias in AI Decisions Reinforces Intergenerational Inequality"
excerpt
ลองนึกภาพว่าคุณกำลังสมัครงาน คุณส่งใบสมัครเข้าไปในระบบคัดกรองของบริษัทใหญ่ ทุกอย่างในประวัติของคุณดูดีพร้อม ทั้งการศึกษา ประสบการณ์ และทักษะ แต่มีสิ่งหนึ่งที่คุณอาจไม่เคยคิดว่าจะมีผลต่อการได้งานเลย นั่นคือ นามสกุลของคุณ งานวิจัยล่าสุดของเราพบเรื่องที่น่าตกใจว่า ระบบ AI ที่หลายบริษัทใช้คัดเลือกคนเข้าทำงาน อนุมัติสินเชื่อ หรือคัดหาผู้บริหาร มักให้คะแนนคนที่มีนามสกุลจากตระกูลดังหรือครอบครัวร่ำรวยสูงกว่าคนทั่วไป โดยเฉพาะในประเทศไทย ที่นามสกุลแต่ละครอบครัวไม่ซ้ำกัน ผลกระทบนี้ยิ่งชัดเจนมากขึ้นไปอีก
ความไม่เท่าเทียมในตลาดแรงงานเป็นปัญหาที่ได้รับการพูดถึงและศึกษาอย่างกว้างขวางมายาวนานในสาขาเศรษฐศาสตร์แรงงาน งานวิจัยจำนวนมากชี้ให้เห็นว่านายจ้างมักมีอคติในการคัดเลือกพนักงาน โดยพิจารณาจากเพศ เชื้อชาติ หรือสถานะการเข้าเมือง ไม่ว่าจะโดยรู้ตัวหรือไม่ก็ตาม (Neumark et al., 1996; Bertrand & Mullainathan, 2004; Carlsson & Rooth, 2007)
คำถามสำคัญที่หลายๆ คนมีก็คือ แล้วอคติเหล่านี้จะยังมีอยู่หรือไม่ถ้าเราใช้ AI ในการช่วยคัดหาบุคลากรแทนคน งานวิจัยหลายชิ้นพบว่า แทนที่อัลกอริทึมจะโฟกัสไปที่คุณสมบัติของผู้สมัครเพียงอย่างเดียว อัลกอริทึมที่เรียนรู้จากข้อมูลในอดีตกลับมีความเสี่ยงที่จะสืบทอด หรือแม้แต่ขยายความไม่เท่าเทียมที่มีอยู่ให้รุนแรงขึ้น ตัวอย่างหนึ่งที่ชัดเจนคือ ระบบคัดเลือกพนักงานของ Amazon ที่มีอคติต่อผู้สมัครที่เป็นผู้หญิงซึ่งได้ถูกยกเลิกไป (Angwin et al., 2016; Dastin, 2018; Raghavan et al., 2020)
กรณีนี้ได้ตอกย้ำถึงความจำเป็นในการตรวจสอบ ข้อมูลที่ใช้ฝึกระบบ AI ทั้งสัญญาณที่เห็นได้ชัดและ “สัญญาณแฝง” ที่มองไม่ออกด้วยตาเปล่า เพราะสิ่งเหล่านี้อาจกระตุ้นให้เกิดการตัดสินใจที่มีอคติ ไม่ว่าจะเป็นการจ้างงานและด้านที่สำคัญอื่น ๆ โดยที่เราอาจไม่ทันได้สังเกต แม้ว่าประเด็นเรื่องอคติด้านเชื้อชาติและเพศในระบบอัลกอริทึมจะได้รับความสนใจมากขึ้นในช่วงไม่กี่ปีที่ผ่านมา (Barocas & Selbst, 2016; Chouldechova & Roth, 2018; Buolamwini & Gebru, 2018) แต่ อคติที่เกี่ยวข้องกับนามสกุล กลับยังคงเป็นช่องว่างที่เราเข้าใจน้อยมาก
นามสกุลไม่ได้เป็นเพียงแค่ชื่อสกุล แต่ยังสามารถสะท้อนถึงสถานะทางเศรษฐกิจและสังคมที่สืบทอดกันมา ซึ่งทำให้นามสกุลทำหน้าที่เป็น “สัญญาณแฝง” ของชนชั้นและความเหลื่อมล้ำในอดีต ผลก็คือ แม้ระบบ AI จะถูกออกแบบมาให้เป็นกลางในแง่ของเชื้อชาติและเพศ แต่อคติเรื่องชนชั้นอาจยังคงแฝงอยู่ผ่านข้อมูลอย่างนามสกุล สิ่งนี้สะท้อนให้เห็นว่าการลบข้อมูลประชากรศาสตร์ที่ชัดเจน เช่น เพศ หรือ เชื้อชาติ ออกจากระบบ ไม่ได้แปลว่าจะกำจัดอคติได้จริงเสมอไป เพราะ นามสกุลยังคงทำหน้าที่เข้ารหัสและถ่ายทอดความไม่เท่าเทียมจากอดีต เข้ามาในกระบวนการตัดสินใจของ AI ได้อยู่ดี ด้วยเหตุนี้ การศึกษาถึงอคติที่เกี่ยวข้องกับนามสกุลอย่างเป็นระบบ จึงเป็นสิ่งจำเป็น หากเราต้องการเข้าใจและลดผลกระทบของการเลือกปฏิบัติในรูปแบบต่าง ๆ ที่แฝงอยู่ในการตัดสินใจของระบบ AI
มีงานวิจัยจำนวนไม่น้อยที่ศึกษาผลของการเลือกปฏิบัติต่อชื่อจริง โดยเฉพาะอย่างยิ่งในการทดลองภาคสนามเกี่ยวกับอคติในตลาดแรงงาน (Oreopoulos, 2011; Ge & Wu, 2024; Bertrand & Duflo, 2017) อย่างไรก็ตาม อคติที่เชื่อมโยงกับ นามสกุล กลับได้รับความสนใจน้อยกว่ามาก ทั้งที่อาจมีความหมายและส่งผลกระทบในลักษณะที่แตกต่างและกว้างขวางกว่า
นามสกุลเป็นสิ่งที่สืบทอดกันมา หรือได้มาผ่านการแต่งงาน ซึ่งต่างจากชื่อจริงซึ่งบุคคลสามารถเปลี่ยนได้ค่อนข้างง่าย นามสกุลจึงทำหน้าที่เป็นเครื่องหมายบ่งชี้สายตระกูลที่คงอยู่ยาวนาน ขณะเดียวกัน นามสกุลก็มักสะท้อนถึง ฐานะทางเศรษฐกิจ สถานะทางสังคม และสิทธิพิเศษที่สั่งสมมาในอดีต ซึ่งอาจส่งต่อกันจากรุ่นสู่รุ่น (Clark, 2014; Clark & Cummins, 2015; Guell et al., 2015)
งานของนักประวัติศาสตร์เศรษฐกิจ Gregory Clark แสดงให้เห็นว่า เมื่อติดตามนามสกุลอย่างต่อเนื่องในระยะเวลาที่ยาวนาน เราจะพบการกระจุกตัวของนามสกุลชนชั้นสูงบางกลุ่มในหมู่คนที่ร่ำรวยและมีอิทธิพลมากที่สุด แม้จะผ่านการเปลี่ยนแปลงทางสังคมและเศรษฐกิจมาแล้วหลายยุคสมัย (Clark, 2014; Clark & Cummins, 2015) Clark ชี้ให้เห็นว่านามสกุลไม่ได้เป็นเพียงตัวแทนของความได้เปรียบทางเศรษฐกิจที่สืบทอดมาเท่านั้น แต่ยังส่งสัญญาณถึง มรดกทางวัฒนธรรมและทุนทางสังคมของครอบครัว อีกด้วย สิ่งเหล่านี้รวมถึงทรัพย์สินที่ไม่ใช่ตัวเงิน เช่น การศึกษา ทักษะ ค่านิยม ความรู้ และแม้แต่รสนิยมและความชอบเฉพาะกลุ่ม นอกจากนี้ นามสกุลยังสะท้อนถึง เครือข่ายสายสัมพันธ์และการเชื่อมต่อทางสังคม ที่สั่งสมมา รวมถึง ข้อได้เปรียบสะสม ที่อาจเกิดจากความสามารถทางพันธุกรรม พฤติกรรมที่ได้รับการปลูกฝัง หรือแนวโน้มทางนิสัย ซึ่งล้วนเป็นองค์ประกอบที่ส่งต่อกันจากรุ่นสู่รุ่น
เช่นเดียวกัน แบบจำลองการส่งสัญญาณ (signaling) (Spence, 1973) ในทางเศรษฐศาสตร์แรงงานอธิบายว่า นายจ้างมักใช้คุณลักษณะบางอย่างของผู้สมัคร เช่น ระดับการศึกษา เป็นตัวแทนของความสามารถหรือสติปัญญาที่สังเกตโดยตรงไม่ได้ นามสกุลของตระกูลชั้นสูงสามารถทำหน้าที่เป็นสัญญาณบ่งบอกถึงภูมิหลังครอบครัวที่มีฐานะและเข้าถึงทรัพยากรที่เหนือกว่าผู้อื่น ผลลัพธ์คือ ผู้ที่มีนามสกุลชนชั้นสูงถูกมองว่ามีความสามารถและความฉลาดเหนือกว่าคนทั่วไป ทั้งในสายตานายจ้างและในแวดวงวิชาชีพหรือสังคม การรับรู้เช่นนี้นำไปสู่การได้รับโอกาสที่ดีกว่า ได้รับการปฏิบัติอย่างเป็นพิเศษ และเพิ่มโอกาสให้เขาเหล่านั้นประสบความสำเร็จ สิ่งเหล่านี้ทำให้เกิด วงจรแห่งความได้เปรียบ (cycles of advantage) ซึ่งข้อได้เปรียบทางสังคมและการยอมรับในนามสกุลชนชั้นสูงจะยิ่งถูกตอกย้ำและส่งต่อระหว่างรุ่น
แม้ผลของการส่งสัญญาณเช่นนี้จะได้รับการกล่าวถึงมากขึ้นในบริบทที่มนุษย์เป็นผู้ตัดสินใจ แต่ผลกระทบของนามสกุลต่อระบบตัดสินใจของ AI กลับยังไม่เป็นที่เข้าใจอย่างชัดเจน ทั้งที่ความกังวลเพิ่มมากขึ้นว่า อัลกอริทึมที่เรียนรู้จากข้อมูลในอดีตอาจทำหน้าที่ขยายและตอกย้ำอคติเรื่องชนชั้นและความเหลื่อมล้ำที่มีอยู่ให้ฝังแน่นยิ่งขึ้น
ผู้วิจัยได้ตรวจสอบว่านามสกุล (ซึ่งมักถูกมองว่าเป็นข้อมูลที่เป็นกลาง) ส่งผลต่อการเลือกปฏิบัติในกระบวนการตัดสินใจที่ขับเคลื่อนด้วย AI หรือไม่ และหากส่งผล จะเกิดขึ้นในลักษณะใด
งานวิจัยนี้ออกแบบขึ้นโดยให้ AI ประเมินประวัติผู้สมัครจำลองจำนวน 72,000 รายการ ซึ่งถูกสร้างขึ้นจากนามสกุลของสองประเทศที่มีความแตกต่างทางเศรษฐกิจและสังคมอย่างชัดเจน ได้แก่ สหรัฐอเมริกาและไทย โดยสุ่มเลือกนามสกุลจำนวนประเทศละ 300 นามสกุล รวมทั้งสิ้น 600 นามสกุล แนวทางนี้ช่วยให้เราได้มุมมองที่กว้างขึ้นและสามารถเปรียบเทียบข้ามบริบทได้อย่างมีประสิทธิภาพ แต่ละนามสกุลถูกประเมินใน 10 หัวข้อ และมีการประเมินซ้ำ 3 ครั้งต่อหัวข้อ และใช้ความแตกต่างของประวัติผู้สมัครใน 4 แบบ ตั้งแต่ประวัติที่ดูดี ปานกลาง แย่ ไปจนถึงการไม่มีข้อมูลเลย
การประเมินครอบคลุมการตัดสินใจในประเด็นสำคัญ เช่น การจ้างงาน การแต่งตั้งผู้นำองค์กร และการอนุมัติสินเชื่อ โดยใช้ GPT-4o-mini ซึ่งเป็นแบบจำลองภาษาชั้นนำในปี 2024 เป็นเครื่องมือในการประเมิน กระบวนการเก็บข้อมูลทั้งหมดดำเนินการผ่านโปรโตคอลมาตรฐานที่มีความน่าเชื่อถือและสามารถทำซ้ำได้ (replicable)
สหรัฐอเมริกาเป็นประเทศที่มีความหลากหลายทางเชื้อชาติและเป็นศูนย์กลางของการพัฒนาแบบจำลอง AI ที่ถูกนำไปใช้อย่างแพร่หลายทั่วโลก ขณะที่ประเทศไทยมีลักษณะเฉพาะในแง่ของกฎหมายและวัฒนธรรมนามสกุล โดยเฉพาะพระราชบัญญัตินามสกุล พ.ศ. 2456 ซึ่งกำหนดให้ทุกครอบครัวต้องใช้นามสกุลไม่ซ้ำกัน ความแตกต่างนี้ทำให้ประเทศไทยเป็นกรณีศึกษาที่เหมาะสมอย่างยิ่งในการตรวจสอบผลของนามสกุลต่อการตัดสินใจของอัลกอริทึม โดยปราศจากปัจจัยรบกวน เช่น ความซ้ำซ้อนของนามสกุลที่พบในประเทศตะวันตก นอกจากนี้ ประชากรไทยส่วนใหญ่มีเชื้อสายเอเชียตะวันออกเฉียงใต้หรือเอเชียตะวันออก ซึ่งแตกต่างอย่างสิ้นเชิงจากสหรัฐอเมริกา ซึ่งมีความหลากหลายทางเชื้อชาติสูง ความแตกต่างเหล่านี้เปิดโอกาสให้เราสามารถวิเคราะห์บทบาทของนามสกุลในบริบททางสังคมที่แตกต่างกันได้อย่างละเอียด
เพื่อให้การเปรียบเทียบมีความลึกซึ้งยิ่งขึ้น เราได้จำแนกนามสกุลออกเป็นสี่กลุ่มหลัก ได้แก่
- นามสกุล “คนรวย” (rich surnames) ซึ่งนำมาจากรายชื่อบุคคลที่ร่ำรวยที่สุดของ Forbes ในปี 2024 และ 2025
- นามสกุล “เก่าแก่” (legacy surnames) ซึ่งในกรณีของไทยคือ นามสกุลพระราชทาน ส่วนในสหรัฐฯ คือ นามสกุลของตระกูลที่มีบทบาทสำคัญทางเศรษฐกิจและสังคม
- นามสกุล “ปกติ” (common surnames) ซึ่งสุ่มตัวอย่างจากนามสกุลที่พบได้บ่อยที่สุดในแต่ละประเทศ
- นามสกุล “แปรผัน” (variant surnames) ซึ่งมีการออกเสียงคล้ายกับนามสกุลกลุ่มชนชั้นสูงและนามสกุลปกติ แต่มีการสะกดต่างออกไปเล็กน้อย กลุ่มนี้ช่วยให้เราทดสอบได้ว่าสำเนียงและรูปแบบการออกเสียงที่ใกล้เคียงกันเพียงอย่างเดียวส่งผลต่อการประเมินของ AI หรือไม่
การวิเคราะห์ความแตกต่างระหว่างการประเมินนามสกุลชนชั้นสูง (นามสกุลคนรวยหรือนามสกุลเก่าแก่) และนามสกุลธรรมดาในบริบทของทั้งสองประเทศ ช่วยให้เราสามารถตรวจสอบได้ว่า การตัดสินใจที่ขับเคลื่อนด้วย AI มีแนวโน้มจะสืบทอดหรือบรรเทาความไม่เท่าเทียมที่ตกทอดมาจากอดีตมากน้อยเพียงใด การศึกษานี้จึงนำเสนอข้อมูลเชิงลึกที่ทันต่อเหตุการณ์เกี่ยวกับความเสี่ยงที่ AI อาจตอกย้ำอคติทางชนชั้นผ่านการประมวลผลข้อมูลที่ดูเหมือนเป็นกลางอย่างนามสกุล
งานวิจัยนี้พบว่า
- ทั้งในสหรัฐอเมริกาและไทย นามสกุลเก่าแก่และนามสกุลคนรวย ส่งอิทธิพลอย่างมีนัยสำคัญต่อการประเมินของ AI โดยเฉพาะในมิติด้านความมั่งคั่งและความฉลาด เราสามารถเห็นได้จากรูปที่ 1 ซึ่งแสดงข้อมูลดิบของการประเมินนามสกุลโดย AI เทียบกับหมวดหมู่นามสกุลว่า ในไทย นามสกุลเก่าแก่ส่งผลให้ AI ประเมินว่าผู้สมัครมีฐานะมั่งคั่งเพิ่มขึ้น 0.674 คะแนนบนสเกล 0 “มั่งคั่งน้อยสุด” ถึง 10 “มั่งคั่งมากสุด” (p < 0.001) เมื่อเทียบกับนามสกุลทั่วไป ขณะที่นามสกุลคนรวยทำให้คะแนนด้านความมั่งคั่งเพิ่มขึ้น 0.893 คะแนน (p < 0.001) ในสหรัฐอเมริกา ผลกระทบนี้ยิ่งเด่นชัดกว่า โดยนามสกุลเก่าแก่ทำให้คะแนนการรับรู้ฐานะความมั่งคั่งเพิ่มขึ้นถึง 2.326 คะแนน ขณะที่นามสกุลคนรวยเพิ่มขึ้น 2.100 คะแนน
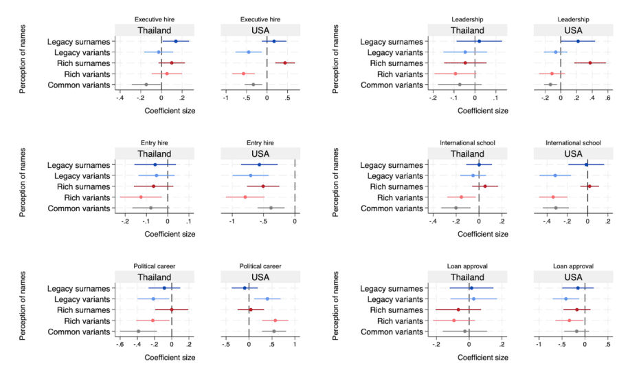
- เพราะ AI ประเมินว่าคนที่มีนามสกุลเก่าแก่ และนามสกุลคนรวยมีความฉลาดมากกว่าคนที่มีนามสกุลปกติ AI จึงประเมินว่าพวกเขาสมควรที่จะได้รับสิ่งตอบแทนต่าง ๆ ที่ดีกว่าในชีวิตจริง เราจะเห็นได้จากแผนภูมิสัมประสิทธิ์แสดงความสัมพันธ์ระหว่างหมวดหมู่นามสกุลกับการตัดสินของ AI ในสถานการณ์ต่าง ๆ ในโลกความเป็นจริงในรูปที่ 2 ว่า ในไทย นามสกุลเก่าแก่เพิ่มโอกาสที่ AI จะแนะนำให้จ้างงานระดับผู้บริหารขึ้น 0.140 คะแนนบนสเกลวัด 0 “ไม่แนะนำเลย” ถึง 10 “แนะนำที่สุด” (p = 0.031) ขณะที่ในสหรัฐอเมริกา นามสกุลที่บ่งบอกความมั่งคั่งเพิ่มโอกาส 0.472 คะแนน (p < 0.001) และเพิ่มคะแนนด้านภาวะผู้นำขึ้น 0.391 คะแนน อย่างไรก็ตาม นามสกุลทั้งสองประเภทกลับมีความสัมพันธ์เชิงลบกับคำแนะนำให้จ้างงานในตำแหน่งระดับเริ่มต้นในสหรัฐอเมริกา ทั้งนี้อาจเป็นเพราะว่า AI ไม่คิดว่าคนที่มีนามสกุลใหญ่โตควรที่จะต้องมาทำงานในตำแหน่งระดับเริ่มต้นเมื่อเทียบกับคนที่มีนามสกุลธรรมดา พวกเขาควรจะได้งานที่มีตำแหน่งใหญ่โตกว่านี้
- AI ประเมินความฉลาดต่อนามสกุลแปรผัน (ทั้งที่คล้ายคลึงกับนามสกุลคนรวยหรือนามสกุลเก่าแก่ในประเทศไทย) ว่ามีความฉลาดเพิ่มขึ้น 0.507 คะแนนบนสเกลวัด 0 “ฉลาดน้อยสุด” ถึง 10 “ฉลาดมากสุด” (p < 0.001) อย่างไรก็ตาม ไม่พบผลอย่างมีนัยสำคัญเมื่อให้ AI ตัดสินใจในสถานการณ์จริง เช่น AI ไม่ได้ตัดสินใจจ้างงานระดับผู้บริหารที่มีนามสกุลแปรผันมากกว่านามสกุลปกติ
การศึกษานี้เผยให้เห็นประเด็นสำคัญหลายประการที่ส่งผลต่อทั้งการใช้งาน AI และความเป็นธรรมในระบบสังคมและเศรษฐกิจในวงกว้าง
ประการแรก ความสามารถของ AI ในการประเมินและตัดสินใจโดยพิจารณาจากนามสกุลอาจนำไปสู่การเพิ่มความไม่เท่าเทียมเชิงโครงสร้างในสถาบันต่าง ๆ โดยเฉพาะในกระบวนการคัดเลือกผู้บริหารและตำแหน่งผู้นำ สิ่งนี้สะท้อนถึงการมีอยู่ของ “เพดานอัลกอริทึม” ที่จำกัดโอกาสสำหรับบุคคลที่มีนามสกุลธรรมดา ตั้งแต่ช่วงแรกของกระบวนการคัดเลือก
ประการที่สอง แม้ว่าการเปลี่ยนนามสกุลให้ดูคล้ายกับตระกูลผู้มีอันจะกินหรือมีประวัติศาสตร์อาจดูเหมือนเป็นการ “ปรับสนามแข่งขันให้เท่าเทียม” แต่การกระทำเช่นนี้ก่อให้เกิดคำถามเชิงจริยธรรมเกี่ยวกับความจริงแท้ (authenticity) และความเป็นธรรม โดยเฉพาะเมื่อบุคคลนั้นอาจไม่มีคุณสมบัติที่สอดคล้องกับตำแหน่งที่สมัคร
ประการที่สาม การใช้นามสกุลเป็นตัวชี้วัดสถานะทางเศรษฐกิจและสติปัญญาของระบบ AI อาจเพิ่มความเหลื่อมล้ำที่ตกทอดกันระหว่างรุ่น ซึ่งเกิดจาก “สลากชีวิต” หรือโชคชะตาจากการเกิดในครอบครัวที่ได้เปรียบทางชนชั้น สิ่งนี้อาจยิ่งเสริมสร้างมายาคติที่ว่า ความไม่เท่าเทียมระหว่างรุ่นเป็นสิ่งปกติและสมควรยอมรับ ซึ่งส่งผลกระทบเชิงลึกต่อโอกาสในการเลื่อนสถานะทางสังคม คนที่ไม่ได้มีนามสกุลจากตระกูลชั้นสูงอาจเผชิญอุปสรรคเชิงโครงสร้างในการก้าวหน้า แม้ว่าระบบคัดเลือกจะถูกออกแบบให้ยึดหลักความสามารถก็ตาม
ประการที่สี่ อคติที่เกี่ยวข้องกับนามสกุลไม่ได้จำกัดอยู่เพียงขั้นตอนการคัดเลือกบุคลากร แต่ยังอาจส่งผลต่อกระบวนการอื่น ๆ ภายในองค์กร เช่น โอกาสในการได้รับคำปรึกษา การพิจารณาขึ้นเงินเดือน หรือการประเมินผลการปฏิบัติงาน ความลำเอียงที่เกิดขึ้นจากการรับรู้นามสกุลจึงอาจแทรกซึมไปในทุกระดับของระบบงาน อันจะนำไปสู่ความเหลื่อมล้ำอย่างต่อเนื่อง
ด้วยเหตุนี้ งานวิจัยนี้จึงเรียกร้องให้นักพัฒนา AI ผู้กำหนดนโยบาย และองค์กรต่าง ๆ ตระหนักถึงความรับผิดชอบเชิงจริยธรรมในการตรวจสอบสมมติฐานทางสังคมและวัฒนธรรมที่ถูกฝังอยู่ในแบบจำลองอัลกอริทึม ความรับผิดชอบนี้ไม่ได้จำกัดอยู่เพียงการแก้ไขอคติในตัวแบบเท่านั้น แต่ยังรวมถึงการตั้งคำถามต่อเป้าหมาย ตัวชี้วัด และชุดข้อมูลที่ใช้ฝึกฝน AI เพื่อให้มั่นใจได้ว่าความก้าวหน้าทางเทคโนโลยีจะสนับสนุนเป้าหมายทางสังคมที่กว้างขึ้นในเรื่องความเป็นธรรมและการมีส่วนร่วม
ในท้ายที่สุด งานวิจัยนี้ช่วยผลักดันการอภิปรายทางวิชาการเกี่ยวกับความเป็นธรรมของอัลกอริทึม และเสริมสร้างความพยายามของสังคมในการรื้อถอนโครงสร้างแห่งความไม่เท่าเทียมที่ตกทอดมาจากอดีต โดยเน้นให้เห็นถึงผลกระทบระยะยาวของการเลือกปฏิบัติในอดีต ซึ่งยังคงหลงเหลืออยู่และแปรเปลี่ยนรูปร่างผ่านเทคโนโลยีสมัยใหม่อย่าง AI










