อารมณ์ บุคลิกภาพ และการตกเป็นผู้เสียหายกลโกงออนไลน์

excerpt
จากข้อมูลของกองบัญชาการตำรวจสืบสวนสอบสวนอาชญากรรมทางเทคโนโลยี พบว่า ตั้งแต่วันที่ 1 มกราคม ถึง 26 มีนาคม 2568 มีคดีออนไลน์เกิดขึ้นมากถึง 75,728 คดี รวมมูลค่าความเสียหายถึง 6,550 ล้านบาท ซึ่งเฉลี่ยแล้วมีคดีเกิดขึ้น 874 คดีต่อวัน (Thumma, 2025) ซึ่งปัญหาอาชญากรรมการเงินออนไลน์ถือเป็นส่วนหนึ่งของภัยคุกคามรูปแบบใหม่ที่กระทบต่อความมั่นคงของประเทศ “หน่วยงานที่เกี่ยวข้องในประเทศไทยมีการเผยแพร่ข่าวสารและการประชาสัมพันธ์เกี่ยวกับมิจฉาชีพออนไลน์อย่างต่อเนื่อง แต่ทำไมยังมีประชาชนตกเป็นผู้เสียหายได้?” เป็นคำถามที่ผู้วิจัยสนใจในการศึกษาครั้งนี้ และมุ่งเน้นศึกษาปัจจัยทางจิตวิทยา ได้แก่ อารมณ์ และบุคลิกภาพของบุคคล
จากการสรุปงานวิจัยที่ผ่านมาโดย Norris & Brookes (2021) พบว่า มิจฉาชีพออนไลน์นิยมใช้อารมณ์กลัวของผู้เสียหายในการหาประโยชน์มากกว่าร้อยละ 60 ซึ่งสูงกว่าการใช้อารมณ์รูปแบบอื่น (Kim & Kim, 2013) โดยช่วงเวลาที่เผชิญกับมิจฉาชีพออนไลน์นั้น คนส่วนใหญ่จะตอบสนองหรือตัดสินใจอย่างรวดเร็ว อัตโนมัติ และใช้อารมณ์นำทาง (การตัดสินใจแบบ system 1) มากกว่าการคิดวิเคราะห์และตัดสินใจอย่างรอบคอบ (การตัดสินใจแบบ system 2) (Kahneman & Tversky, 1974) เช่น เมื่อเวลาที่คนส่วนใหญ่เจอเหตุการณ์ที่คิดว่าเป็นภัยหรือไม่ปลอดภัยต่อตนเอง (เช่น การคุกคาม การข่มขู่ เป็นต้น) สมองจะทำงานและส่งผลต่อการตัดสินใจของคนในช่วงระยะเวลาสั้น ๆ ได้ในทันที หรือสมองจะมีการหลั่งฮอร์โมนที่สัมพันธ์กับอารมณ์ของคน ซึ่งส่งผลให้คน ๆ นั้นมีพฤติกรรมกล้าที่จะเสี่ยงหรือสามารถยอมรับความเสี่ยงได้มากขึ้น รวมถึงมีพฤติกรรมที่ไม่สามารถคาดเดาได้ (O’Neill, 2019)
ในการศึกษาระยะแรก ผู้วิจัยได้เก็บรวบรวมข้อมูลด้วยแบบสอบถามจากกลุ่มตัวอย่างในกรุงเทพมหานครและปริมณฑลจำนวน 200 คน จากรูปที่ 1 พบว่า ผู้ตอบแบบสอบถามมากกว่าร้อยละ 90 มีประสบการณ์ถูกหลอกให้ซื้อ/ขายสินค้าหรือบริการ ซึ่งเป็นสัดส่วนสูงที่สุดเมื่อเทียบกับการหลอกประเภทอื่น และผู้ที่เคยถูกหลอกให้ซื้อ/ขายสินค้าหรือบริการนี้ยังตกเป็นผู้เสียหายในสัดส่วนที่สูงที่สุดคิดเป็นประมาณมากกว่าร้อยละ 50
ผู้ที่มีประสบการณ์โดนหลอกให้ซื้อ/ขายสินค้าหรือบริการ หลอกให้ลงทุน หลอกหางาน และหลอกให้กู้เงิน มักเจอกลโกงผ่านช่องทางเว็บไซต์ หรือ social media (เช่น Facebook และ Tiktok) ซึ่งเป็นช่องทางที่พวกเขาเข้าหามิจฉาชีพด้วยตนเอง ในขณะที่การหลอกติดตั้งแอพพลิเคชัน หลอกแจ้งว่ากระทำผิดกฎหมาย และหลอกว่าได้รับผลประโยชน์นั้น มักเกิดจากการติดต่อโดยตรงจากมิจฉาชีพผ่านช่องทางอีเมล์ ข้อความ แอพพลิเคชันต่าง ๆ (เช่น Line และ Tinder เป็นต้น) และผ่านโทรศัพท์ (หรือ call center)
ในงานวิจัย กลุ่มตัวอย่างที่เคยมีประสบการณ์ต่อกลโกงออนไลน์ถูกสอบถามให้ระบุรายละเอียดเกี่ยวกับกลโกงออนไลน์ที่เคยเจอ โดยผู้วิจัยได้วิเคราะห์คำตอบและ แสดงคำตามจำนวนความถี่ (รูปที่ 2) และพบว่า ข้อความหรือรูปภาพของกลโกงที่มีความถี่สูงสามารถจำแนกออกได้เป็น 4 กลุ่ม ได้แก่ คำที่เกี่ยวข้องกับ
- เงิน/ราคา เช่น บาท ค่า และถูก
- การได้รับเงิน เช่น ได้เงิน ทำงาน ลงทุน และรายได้ดี
- เวลา เช่น นาที
- ข้อความกระตุ้นอารมณ์ เช่น พิเศษ รวมถึงสะท้อนถึงช่องทางและรูปแบบในการเผชิญกับกลโกงออนไลน์ เช่น คำว่า Line Facebook Tiktok ข้อความ และรูป
การศึกษาในระยะที่สองต่อยอดข้อมูลจากการศึกษาในระยะแรกเพื่อวิเคราะห์ปัจจัยที่ทำให้คนตกเป็นเหยื่อมิจฉาชีพออนไลน์ โดยใช้การเก็บรวบรวมข้อมูลผ่านแพลตฟอร์ม “ว่าง” ซึ่งเป็นแพลตฟอร์มออนไลน์ที่เปิดให้สมาชิกคนไทยตอบแบบสอบถามออนไลน์ได้ ซึ่งผู้เข้าร่วมการทดลองในการศึกษาระยะที่สองยังคงเป็นกลุ่มตัวอย่างในกรุงเทพมหานครและปริมณฑลจำนวนทั้งสิ้น 1,292 คน
การทดลองในระยะที่สองนี้ใช้การออกแบบการทดลอง (framing) ผ่านอารมณ์โลภ และการกดดันด้วยระยะเวลา ซึ่งเป็นอารมณ์ที่พบเจอได้บ่อยขณะที่เผชิญกับมิจฉาชีพออนไลน์ โดยการสร้าง pop-up ข้อความปรากฏที่หน้าจอที่เลียนแบบสิ่งที่คนทั่วไปมีโอกาสเจอในขณะที่กำลังเปิดเว็บไซต์ต่าง ๆ หรือผ่าน social media ในชีวิตประจำวัน
ผู้เข้าร่วมการทดลองจะเริ่มต้นจากการตอบคำถามทั่วไปเกี่ยวกับประสบการณ์ต่อกลโกงออนไลน์ และในระหว่างนั้นผู้เข้าร่วมการทดลองทุกคนจะเผชิญกับข้อความ pop-up (รูปที่ 3) ที่แสดงข้อความที่กระตุ้นอารมณ์ “โลภ” โดยการใช้คำว่า “ผู้โชคดี” และมีมูลค่าของรางวัลที่ชัดเจน ได้แก่ รางวัล 50 บาท และ 500 บาท ซึ่งจะถูกสุ่มให้แก่ผู้เข้าร่วมการทดลองแต่ละคน นอกจากนี้ ข้อความ pop-up มีการกดดันด้วยระยะเวลาในการรับสิทธิ์รางวัลที่ระบุว่า “รับสิทธิ์ได้แค่วันนี้วันเดียวเท่านั้น”
หากผู้เข้าร่วมการทดลองต้องการรับรางวัล จะต้องกดเปิดข้อความ pop-up และกรอกข้อมูลส่วนบุคคลที่มีความอ่อนไหว โดยเริ่มต้นจากข้อมูลส่วนบุคคลที่มีความอ่อนไหวระดับต่ำ (ชื่อ-นามสกุล และอีเมล์) ต่อมาเป็นข้อมูลที่มีความอ่อนไหวระดับกลาง (เบอร์โทรศัพท์ และที่อยู่) และความอ่อนไหวระดับสูง (หมายเลขบัตรประชาชน) ตามลำดับ ซึ่งผู้เข้าร่วมการทดลองสามารถเลือกออกจากการกรอกข้อมูลส่วนบุคคลได้ตลอดเวลา
อย่างไรก็ตาม หากผู้เข้าร่วมการทดลองกดเปิดข้อความ pop-up แต่ไม่กรอกข้อมูลส่วนบุคคล หรือเลือกกดปิดข้อความ pop-up ทันที จะถือว่าไม่ต้องการรับสิทธิ์รางวัลดังกล่าว
ดังนั้น ผู้วิจัยสามารถแบ่งพฤติกรรมที่ผู้เข้าร่วมการทดลองตอบสนองต่อข้อความ pop-up ได้เป็น 3 กลุ่มหลัก ได้แก่
- กลุ่มที่กดปิดข้อความ pop-up ทันที
- กลุ่มที่กดเปิดข้อความ pop-up แต่ไม่กรอกข้อมูลส่วนบุคคล
- กลุ่มที่กดเปิดข้อความ pop-up และกรอกข้อมูลส่วนบุคคลที่ระดับความอ่อนไหวแตกต่างกันไป
โดยพฤติกรรมข้างต้นทั้ง 3 กลุ่มสามารถสะท้อนให้เห็นถึงโอกาสในการตกเป็นผู้เสียหายให้แก่กลโกงออนไลน์ได้ ดังแสดงในรูปที่ 4
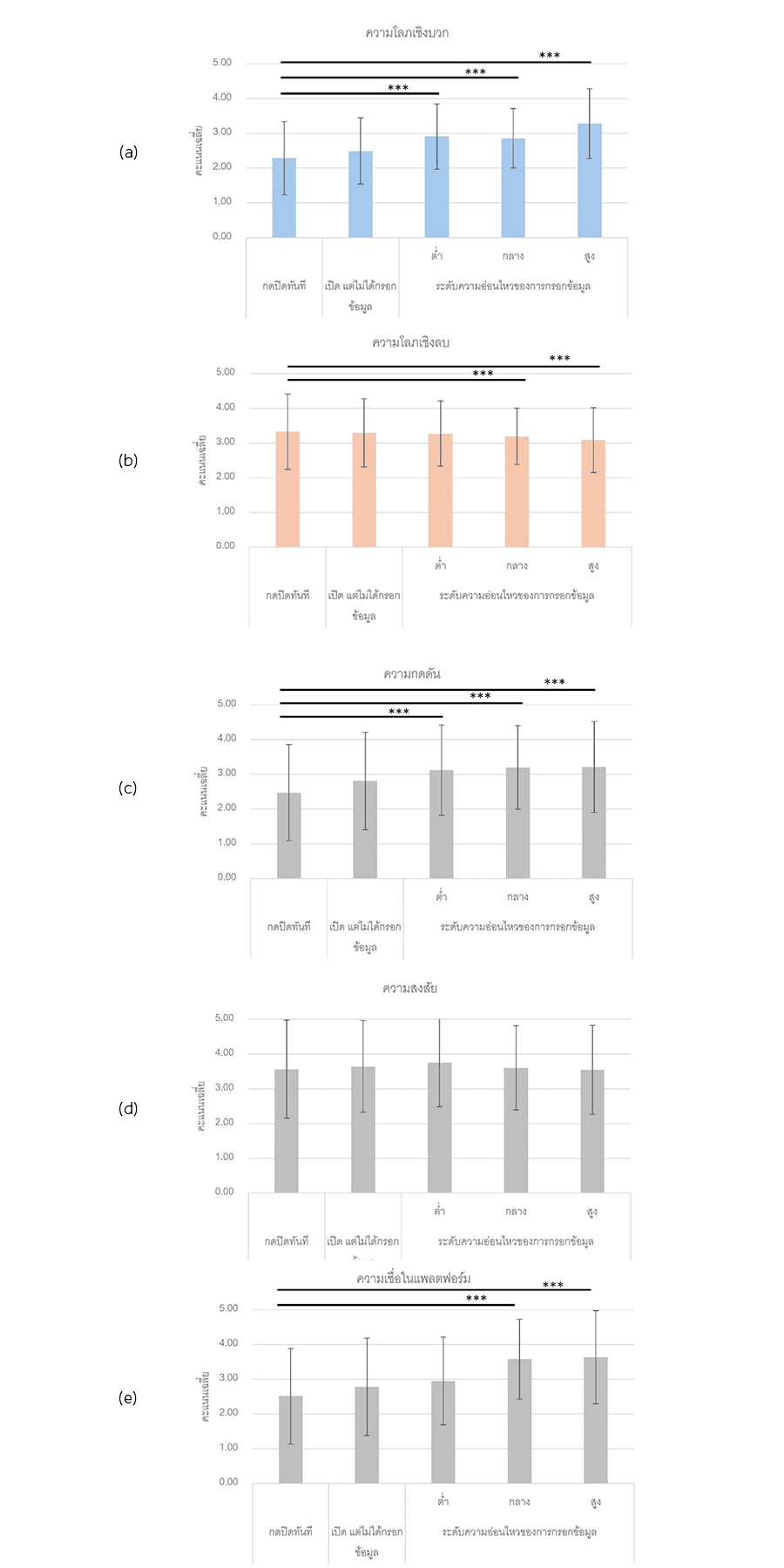
หลังจากเห็นข้อความ pop-up แล้วนั้น ผู้เข้าร่วมการทดลองจะกลับเข้าสู่แบบสอบถามที่มีคำถามเพื่อวัดอารมณ์ของตนเองขณะเจอกับข้อความ pop-up ซึ่งเป็นคำถามแบบ likert scale 5 ระดับดัดแปลงจาก Fischer et al. (2013) โดยสามารถวัดได้ทั้งอารมณ์โลภทางบวก (คะแนนสูงขึ้นแสดงถึงความโลภมากขึ้น) ยกตัวอย่างคำถามเช่น ท่านเริ่มคิดถึงสิ่งที่ท่านอยากจะทำเมื่อได้รับเงินรางวัลนั้น และอารมณ์โลภทางลบ (คะแนนสูงขึ้นแสดงถึงความโลภที่น้อยลง) ยกตัวอย่างคำถามเช่น ท่านรู้สึกเบื่อมากเมื่อเห็นข้อความเชื้อเชิญ รวมถึงอารมณ์ที่เกี่ยวข้องกับความกดดัน ความสงสัย และความเชื่อมั่นในสถาบัน ซึ่งในที่นี้ได้ดัดแปลงเป็นความเชื่อมั่นในแพลตฟอร์ม “ว่าง” ที่ใช้ในการรวบรวมข้อมูล ยกตัวอย่างคำถามเช่น ท่านรู้สึกว่าข้อความกดดันให้ท่านต้องกรอกรับสิทธิ์ ณ ขณะนั้น หรือท่านคิดว่าข้อความดังกล่าวเป็นของ platform ว่าง เป็นต้น
ผลการศึกษาในระยะที่สองพบว่า ผู้ที่มีคะแนนระดับอารมณ์โลภทางบวกสูงก็มักจะมีโอกาสกรอกข้อมูลที่อ่อนไหวมากยิ่งขึ้น การทดสอบ t-test ระหว่างกลุ่มแสดงให้เห็นว่า ค่าเฉลี่ยอารมณ์โลภทั้งทางบวกและทางลบแตกต่างกันอย่างมีนัยสำคัญระหว่างผู้ที่ปิดข้อความทันทีและผู้ที่เปิดข้อความ pop-up (รูปที่ 5 a-b) และเป็นที่น่าสังเกตว่าคะแนนเฉลี่ยอารมณ์ความโลภทางบวกของกลุ่มผู้ที่เปิดข้อความ pop-up ไม่มีความแตกต่างกันระหว่างกลุ่มที่ไม่กรอกข้อมูลส่วนบุคคล และกลุ่มผู้ที่กรอกข้อมูลส่วนบุคคล หรืออาจกล่าวแบบง่ายๆ ได้ว่า กลุ่มผู้ที่กดเปิดข้อความ pop-up ทั้งหมดมีความโลภไม่แตกต่างกัน
ในขณะที่ความกดดันขณะที่เผชิญกับข้อความก็มีคะแนนเฉลี่ยที่แตกต่างกันระหว่างกลุ่มผู้ที่ไม่กรอกข้อมูลและผู้ที่กรอกข้อมูล ส่วนความสงสัยตอนเห็นข้อความ pop-up นั้นไม่มีความแตกต่างกันระหว่างกลุ่ม แต่กลุ่มผู้ที่กรอกข้อมูลอ่อนไหวระดับต่ำมีแนวโน้มที่จะมีคะแนนความสงสัยค่อนข้างสูงกว่ากลุ่มอื่น อาจเป็นเพราะเริ่มไม่วางใจต่อข้อความ pop-up เมื่อต้องกรอกข้อมูลอ่อนไหวในระดับสูงขึ้น (รูปที่ 5 c-e)
นอกจากนี้ ความเชื่อว่าข้อความ pop-up มาจากแพลตฟอร์ม “ว่าง” ที่ใช้ในการรวบรวมข้อมูลก็มีคะแนนเฉลี่ยที่แตกต่างกันระหว่างกลุ่ม สะท้อนให้เห็นว่า กลุ่มผู้เข้าร่วมการทดลองที่เชื่อใจว่าข้อความ pop-up มาจากแพลตฟอร์มจะมีแนวโน้มกรอกข้อมูลที่อ่อนไหวสูงขึ้น
อย่างไรก็ดี เมื่อเปรียเทียบบุคลิกภาพที่วัดจากแบบทดสอบ big five personality traits แบบย่อ โดยอ้างอิงจาก Donnellan et al. (2006) ซึ่งสามารถจำแนกผู้ตอบแบบสอบถามออกเป็น 5 บุคลิกภาพ ได้แก่
- การเปิดรับประสบการณ์ (openness to experience)
- การมีวินัยในตนเอง (conscientiousness)
- การชอบเข้าสังคม (extraversion)
- ความเป็นมิตร (agreeableness)
- ความมั่นคงทางอารมณ์ (stability)
ซึ่งจากผลการศึกษาแสดงในรูปที่ 6 พบว่า คะแนนเฉลี่ยแต่ละบุคลิกภาพไม่มีความแตกต่างกันระหว่างกลุ่มผู้ที่กรอกข้อมูล
ดังนั้น ผลการศึกษาสามารถสรุปได้ว่า อารมณ์ โดยเฉพาะความโลภ มีบทบาทสำคัญต่อการตกเป็นผู้เสียหายจากอาชญากรรมทางการเงินออนไลน์
เนื่องจากการให้ความรู้เรื่องอารมณ์และอคติอาจไม่สามารถทำให้คนหลุดพ้นจากการตัดสินใจที่ขับเคลื่อนโดย system 1 ได้อย่างมีประสิทธิผล (Kahneman & Tversky, 1974) ดังนั้น การแก้ไขปัญหาอาชญากรรมทางการเงินออนไลน์ควรมุ่งเน้นที่การสร้างระบบเพื่อป้องกันหรือเตือนให้ประชาชนรู้ตัวก่อนที่จะตกเป็นผู้เสียหาย โดยสามารถสรุปเป็นข้อเสนอแนะได้ ดังนี้
- การใช้ behavioral design ปรับ user experience/user interfere บนแพลตฟอร์มเพื่อเตือนภัยอย่างทันเวลา
การสร้างมาตรการควบคุมการแสดงข้อความ pop-up ในเว็บไซต์หรือ social media ที่เป็นที่นิยม รวมถึงสร้างมาตรการป้องกันการโจมตีทางไซเบอร์ (cyber attack) เนื่องจากผลการศึกษาชี้ให้เห็นว่า กลุ่มตัวอย่างที่กรอกข้อมูลอ่อนไหวเป็นกลุ่มที่เชื่อถือว่าข้อความ pop-up มีที่มาจากแหล่งที่น่าเชื่อถือได้ ดังนั้น การคัดกรองข้อความ pop-up ในเว็บไซต์หรือตาม social media จะสามารถลดโอกาสในการเข้าถึงอาชญากรรมทางการเงินออนไลน์ได้
นอกจากนี้ การพิจารณาปรับให้โปรแกรมมีการตั้งระบบ block pop-up เป็น default หรือการแจ้งเตือนผู้ใช้บริการในกรณีที่ข้อความ pop-up มีความเสี่ยงที่จะเป็นอาชญากรรมการเงินออนไลน์ อย่างไรก็ตาม มาตรการดังกล่าวอาจก่อให้เกิดผลเสียได้เช่นกัน เนื่องจากข้อความ pop-up ที่ไม่ใช่อาชญากรรมทางการเงินออนไลน์จะถูกปิดกั้นจากระบบดังกล่าว
- Design nudges ที่ทำให้การตัดสินใจช้าลง เพื่อลดการตัดสินใจแบบ system 1 เช่น
บังคับให้มี ขั้นตอนยืนยันหลายชั้น หรือ delay time ในธุรกรรมที่เข้าข่ายเสี่ยง เช่น แอปธนาคารอาจให้ “ระยะเวลารอ 24 ชั่วโมง” ในการโอนเงินไปยังบัญชีใหม่ที่มีความเสี่ยงสูง หรือจำนวนวงเงินในการโอนไปยังบัญชีใหม่ที่ไม่เคยมีการทำธุรกรรมร่วมกันมาก่อน นอกจากนี้ ยังสามารถสร้างระบบที่มีการเตือนซ้ำ (repeated warning nudges) เช่น ทุกครั้งที่ผู้ใช้คลิกผ่านลิงก์หรือลงทุน ต้องมี pop-up แจ้งเตือนแบบชัดเจน และใช้สีที่ดึงดูดอารมณ์ เช่น สีแดง เครื่องหมายตกใจ
อย่างไรก็ตาม การสร้างภูมิต้านทานให้แก่ประชาชนก็ยังเป็นสิ่งที่หน่วยงานที่เกี่ยวข้องสามารถดำเนินการได้ เช่น การสร้าง workshop/simulation สอนการรู้ทันกลโกง โดยให้ผู้เข้าอบรม ได้ลองตัดสินใจในสถานการณ์จำลอง หรือการทำแบบสอบถามเพื่อวัดให้เห็นถึงระดับความ “โลภ” และ “ตกหลุม” กลโกงออนไลน์รูปแบบต่าง ๆ เพื่อสร้างความตระหนักเชิงพฤติกรรมให้แก่ประชาชน รวมถึงการฝึกให้ประชาชนแยกแยะ emotional triggers เช่น “ข้อความเร่งด่วน” หรือ “รายได้ดีเกินจริง”










